HONG KONG ADVANCED LEVEL EXAMINATION
AL PHYSICS
1993 Structural Question
7. (a) A rocket is fired to launch a spacecraft with an astronaut into an orbit round the earth. If the initial acceleration of the rocket is 100 ms-2 and the mass of the astronaut is 60 kg, find the supporting force acting on the astronaut
(i) before the rocket is fired from the earth𠏋 surface;
(ii) during the first few seconds after firing.
Explain briefly why the astronaut should lie down in a bed-shaped seat during launching. (3 marks)
(b) Now the spacecraft with astronaut is moving round the earth in a circular orbit of radius r with its engine turned off.

(i) Derive an expression for the total mechanical energy E of the spacecraft in terms of G, ME, m and r, where G = gravitational constant
ME = mass of earth
m = mass of the spacecraft.
(3 marks)

(c) The astronaut inside the orbiting spacecraft is said to be 𪃡eightless’.
A student explains that since the orbit is at a great distance from the earth, the acceleration due to gravity and the weight of the astronaut are both zero. Do you agree with the student? Explain your answer. (3 marks)
8. In Figure 8.1, a layer of material of refractive index 1.40 and thickness 3.0 ´ 10-5 m is coated uniformly on a glass block of refractive index 1.50. It is illuminated by light of wavelength 4.20 ´ 10-7 m from an extended source.

(a) What is the colour of the light? (1 mark)
(b) Calculate the wavelength of the light in the film. (1 mark)
(c) For normal incidence,
(i) find the path difference between the lights reflected from the coating surface and from the coating-glass boundary; (2 marks)
(ii) explain what will happen when the two reflected waves recombine.
(2 marks)
(d) Figure 8.2 shows part of the interference pattern observed directly from above. Explain why such a pattern is observed. (2 marks)

(e) Sketch the interference pattern if the coating is not on a glass surface but on the top of a transparent block of refractive index 1.38. (1 mark)
(f) Explain briefly the difference between the patterns in (d) and (e). (2 marks)
9. For a certain gas X, the equation of state for n moles of the gas is given by
![]()
where b = 3.0 ´ 10-5 m3 mol-1.
(a) What is the physical significance of the constant b? (1 mark)
(b) According to the equation, what can you say about the attractive and repulsive intermolecular forces among the gas molecules? (2 marks)
(c) An insulated container is divided into two equal compartments, A and B, by a thin partition. In compartment A, there is 1 mole of gas X at 350 K and 5.0 ´ 105 Pa. In compartment B, there are 2 moles of gas X at 300 K.

Given that the universal gas constant R = 8.31 J mol-1 K-1, use the equation of state for gas X to find
(i) the volume of compartment A; (2 marks)
(ii) the pressure of the gas in compartment B. (2 marks)
(d) When the partition is removed, assuming the total kinetic energy of the gas molecules remains unchanged, estimate
(i) the final temperature of the gas; (3 marks)
(ii) the final pressure of the gas. (2 marks)
10. A flat circular coil of 100 turns, total resistance 50 W and average area 0.01 m2 is placed with its plane perpendicular to a uniform magnetic field of 0.20 T as shown in Figure 10.1.

(i) the average e.m.f. induced in the coil; (3 marks)
(ii) the average current; (1 mark)
(iii) the quantity of charge which flows through a cross-section of the wire in the coil. (2 marks)
(b) Now the coil is being rotated about a diameter at a uniform rate of 5 revolutions per second. Find
(i) an expression for the current flowing in the coil as a function of time;
(3 marks)
(ii) the root-mean-square value of the current; (2 marks)
(iii) the average power dissipated in the coil. (2 marks)
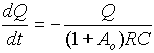
11. (a) Figure 11.1 shows an operational amplifier circuit (power supply not shown).

(ii) Mention two different types of applications of the above circuit.
(2 marks)
(b) A voltmeter V, a 10 m F capacitor C and a switch S are connected to the circuit as shown in Figure 11.2.

Suppose the input resistance of the operational amplifier, R = 2.0 MW , and the open-loop voltage gain, Ao = 1.0 ´ 105.
(ii) The circuit shown in Figure 11.2 can be represented by that in Figure 11.3.


(4 marks)
(iii) Find the quantity of charge on the capacitor after the switch has been closed for 10 hours. (3 marks)
12. (a) Figure 12.1 shows the decay series for
.

(ii) Given that the half-life of
(b) The following equation represents a possible nuclear reaction in a fission reactor:
Given: the mass of one nuclide of
= 1.0087 u,
= 90.9234 u,
= 141.9164 u,
unified atomic mass unit 1 u = 1.66 ´ 10-27 kg.
(i) According to the above equation, what is the mass defect between the reactants and products when one
(2 marks)
(ii) If 4.00 ´ 10-5 kg of
(c) Explain how the energy can be extracted from the core of a fission reactor for producing electricity. (3 marks)
- End of Paper -