Confidence Intervals

Confidence intervals represent a range of values in which the true value can be expected to lie. (Ayyub 1997) The equation determining the confidence intervals for Pf versus sample size is as follows:

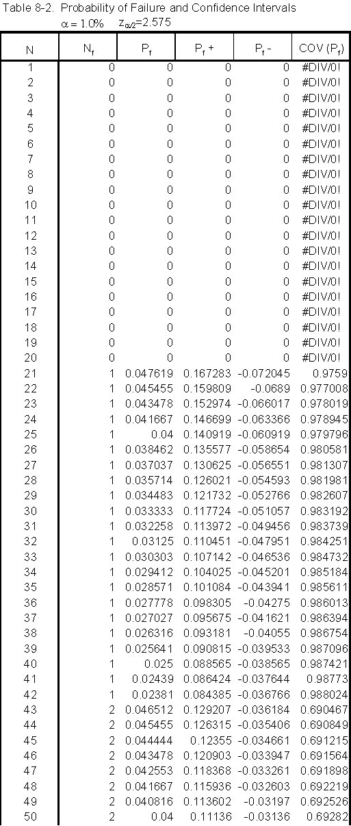
Where za/2 is equal to 2.575. The za/2 value is obtained by assuming a region of rejection equal to 1%. Therefore, the two-tailed probability must equal 0.5%. Using Table A-1 from Probability Statistics, and Reliability for Engineers, where the f(z) is equal to 1-0.005 or 0.995, we get a za/2 value of 2.575 (See Table 8-2).

 

 

The confidence intervals for Pf are included in Figure 11.

 

Upon examination, as the relationship between Pf and N converges, so do the two confidence interval limits Pf + and Pf -.