Methodology
The basic procedure followed to generate sample data for the stress problem outlined in the problem statement is as follows:
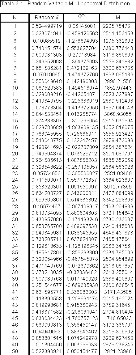
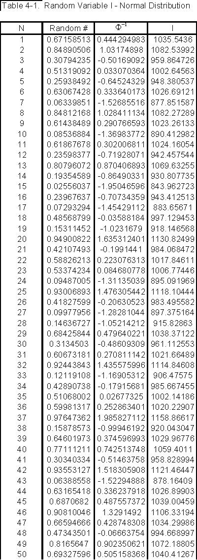
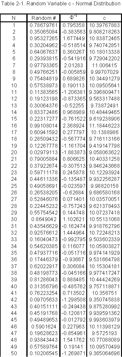
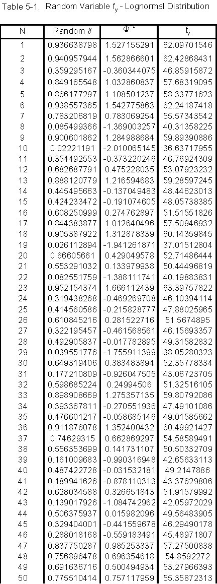
- 1,000 random numbers were generated for each variable using the RAND( ) function in Microsoft Excel.
- The random numbers were then converted to random variables by inverse transformation.
- The variables c and I are normally distributed and were transformed by the following equation:
, where mi is given by the problem statement, s = m *COV, where COV is given in the problem statement, and f-1 is determined by the NORMSINV() function in Excel.
- The variables M and fy are lognormally distributed and were transformed by the following equation:
,where sy2 = ln[1 + (sx/mx)2], sx and mx are the same as above, my = ln(mx) – 0.5sy2, and f-1 is again determined by NORMSINV( ).
- The mean, standard deviation, COV, maximum, minimum, and sample size were determined for each random variable and then compared with the problem specifications.
- s
was then calculated for each random variable by the following equation:
to determine beam failure. If s > fy, then failure occurred, otherwise it was a non-failure case.
To view the tables of random variables click on the links below.
Random variable c
Random variable M
Random variable I
Random variable fy