.
 
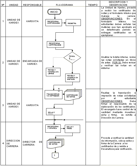
PROCEDIMIENTO DE EXTENSIÓN DE
CERTIFICADO DE NOTAS


 

 

 
 

webmaster
 © 2002 FAUA- UMSA
Última actualización Noviembre 15  2002